学校首页
网站首页
学院概况
师资队伍
教育教学
科学研究
实践教学
党建工作
学生管理
招生就业
智学电路学习实训平台
电信工程学院特邀客座教授举办学术讲座
电信工程学院特邀客座教授董海鹰举...
宋国军
电气与智能控制工程学院教师获得专...
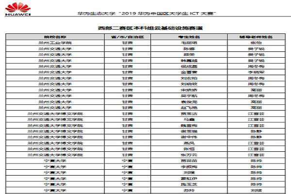
兰州交通大学博文学院电信工程系学生荣获华为生态大学“2019...
兰州交通大学博文学院电信工程系开展教学观摩课
电信工程系历届优秀毕业生风采
兰州交通大学博文学院电信工程系学生荣获第十届“蓝桥”杯全...
电信工程系第二届 “青春飞扬” 团组织生活会顺利举行
兰州交通大学博文学院电信工程系 成功举办首届智能小车大赛